1. 了解离子源、离子阱与离子囚禁基本原理。
2. 掌握离子产生与离子束操控的实验方法。
3. 掌握离子阱中离子囚禁与量子态调控的实验方法。
4. 掌握基于离子阱的原子质量、原子磁矩、原子光谱精密测量的实验方法,并模拟开展原子质量测量。
教学设计的合理性:
本虚拟仿真实验可以作为“原子物理学”;“原子物理学(H)”;“原子物理专题”;“现代核科学与技术VR仿真实验”等课程的教学活动内容。原子物理教学的核心内容是原子结构,而基于本实验的原子质量、原子磁矩、原子光谱的量子精密测量恰恰是研究原子结构的最前沿内容。通过本虚拟仿真实验,让同学接触这些实验系统、掌握实验操作、认识实验现象和结果,为深入了解原子物理领域前沿是极为必要的。
在教学活动中,将演示高电荷态离子源中的离子产生过程、离子束引出与操控过程、离子阱中的离子囚禁方法以及如何进行离子运动的量子态调控并开展原子质量、原子磁矩与原子能级的精密测量。在真实实验环境中,实验人员需要通过许多诊断手段帮助判断离子束的电荷态分布、空间位置、聚焦情况、在离子阱中的运动幅度、温度等等的信息,有些信息的诊断往往需要几天的实验时间。而在模拟仿真实验中,同学们可以通过实验设备的剖面显示更加直观的观测离子的径迹,通过调节实验参数改变离子运动,进而学习操控离子运动状态的方法等。也可以模拟非常极端的情况,如离子囚禁状态破裂等这些在真实环境中禁止的操作,帮助同学了解这些违规操作带来的重大问题,以及如何避免。因此,建设该虚拟仿真实验,可以给学生提供一个接近真实的实验系统。通过虚拟仿真技术将外部电磁波操控的量子系统的运动轨迹、量子态能级间的跃迁进行可视化,超越真实实验的信息量,可以帮助同学更好的理解其中的物理原理和实验过程。
(1)实验原理
1. 离子源系统
图1为高电荷态离子源与部分离子束流线示意图。在离子源中,通过电子枪产生的电子束经过加速电压加速到百keV的能量。当原子从垂直于电子束方向由气相注入时,会与高能量电子束发生碰撞,使得原子外层电子被剥离形成等离子体。通过在漂移管电极上施加静电约束势,可以约束这些等离子体。根据原子电离阈值表,实验上通过调节电子束能量可以获得不同的等离子体电荷态分布,而不同价态的离子会放出特征频率的光波,通过安置在垂直方向光谱仪的测量,我们就可以知道离子的电荷态信息。通过在末端漂移管上施加一个低电压脉冲,这样离子将脱出静电势阱的约束,从漂移管中引出。引出后的离子具有不同的电荷态,而最终离子阱中仅需要俘获一种电荷态的离子,这就需要对引出离子的电荷态进行筛选。图1所示的维恩速度选择仪就可以筛选特定电荷态与速度的离子。在维恩速度选择仪中存在一组垂直的电磁场,离子束飞过时,只有当它感受的洛仑磁力等于电场力即:qvB=Eq时,离子才能通过选择器。在实验操作时,需要根据待测离子的荷质比q/m,合理设置维恩速度选择仪的磁场和电场值,将目标离子筛选出来。

图1. 高电荷态离子源与部分离子束流线示意图
2. 潘宁离子阱系统
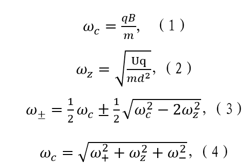
图2为潘宁离子阱核心结构与离子运动径迹示意图。它通过轴向的匀强磁场和四极静电势组合成的电磁场实现对带电粒子的全空间约束。匀强磁场由超导螺线管线圈产生,而四极静电势通常由双曲面电极或多组环状电极产生。带电粒子在潘宁阱中具有三个本征运动模式,如图2所示,分别为修正回旋运动(modified cyclotron motion)、磁控运动(magnetron motion)以及轴向的简谐振荡(axial oscillation),三种运动的频率分别由
表示,并满足关系
。这四个运动频率有以下几个重要关系式:

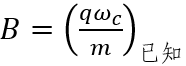
由(1)式可知,在磁场强度B已知的情况下,实验上测量
就可以得到待测离子的荷质比q/m。而磁场强度B往往是通过测量一个已知质量的原子的回旋运动频率
得到,即
。由此,待测离子的荷质比可以最终表示为:

此外,由(3)式可知离子的稳定囚禁条件为
。

图2. 潘宁离子阱核心结构与离子运动径迹示意图
知识点:共 4 个
1. 基于高电荷态离子源产生离子的基本原理
2. 离子荷质比筛选方法
3. 基于潘宁阱的离子囚禁原理
4. 基于潘宁阱的原子质量测量方法
(2)核心要素仿真设计
系统整体结构(模型)如图3所示,包括离子源、离子束线、离子阱磁体、离子阱核心阱区与探测系统(未显示在图中)。各部分功能与模拟仿真内容详述如下:
1、 离子源为电子束离子源。仿真内容为机械与真空结构、电磁场环境、电子束发射和收集、离子产生与囚禁、离子引出等物理过程。
2、 离子束线。仿真内容为机械与真空结构、离子输运中的离子筛选、离子束聚焦、偏转、减速等物理过程。
3、 离子阱磁体。仿真内容为机械结构、磁场强度调节。
4、 离子阱核心阱区。仿真内容为机械与真空结构,离子俘获、离子囚禁、离子运动量子态操控。
5、 电子学与探测系统。仿真内容为LC谐振电路、电源、信号发生器、放大器、频谱分析仪、光谱仪等多种探测系统的物理建模。

图3. 潘宁离子阱实验装置整体结构示意图
实验方法:
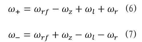
本实验的原子质量精密测量是基于潘宁阱中离子镜像电荷探测的高精度频谱分析方法。具体内容为:离子在潘宁阱中的谐振运动会在电极表面诱导出一个镜像电流,这个镜像电流的频率与离子的振动频率一致。通过放大这个镜像电流信号,再经过频谱分析仪分析后就可以直接得到离子的频率信号,测量方法仿真原理如图4所示。一般轴向谐振运动频率
可以直接通过这个方式得到,而径向运动频率
与
需要采用离子运动模式的量子调控技术,将径向运动耦合至轴向测量。通过施加
与
的射频电磁波,就可以将离子的径向运动耦合到轴向运动。通过镜像电流法读出运动模式耦合下的两个劈裂频率
与
。利用公式:

就可以计算得到
与
的频率。最后借助实验原理中的公式(4)就可以计算
,进而得到离子的荷质比。

图4. 镜像电流法测量原理示意图
具体实验过程包括离子源中的离子产生过程;离子束引出、电荷态筛选与导向过程;离子俘获和离子囚禁过程;离子运动量子态调控与频谱测量过程。软件系统可自动回溯以上关键步骤中的错误操作,并可自动解释错误原理。
(1)学生交互性操作步骤,共 15 步,总规定操作时间为45分钟,每一步操作允许超过规定时间,但总操作时间不得超过70分钟。
步骤序号 | 步骤目标要求 | 步骤合理用时 | 目标达成度赋分模型 | 步骤满分 | 成绩类型 |
1 | 加热电子束离子源的阴极灯丝 | 1分钟 | 调节电子枪加热电压至不小于3V,加热电流至1.2A,得5分。如果电子枪温度未达到指定温度,可能由于没能正确施加加热电流,得0分。学生可以多次操作,如果超过规定时间完成,得3分,多次操作取最高分为准。 | 5 | ■操作成绩 ■实验报告 £预习成绩 £教师评价报告 |
2 | 设置引出电压引出电子束 | 1分钟 | 设置电子束引出电压与收集器电压至额定值,引出电子束,得5分。如果没有引出电子束,获电子束引出但未能在收集器端被收集,说明学生没有正确设置引出极和收集器的电压值,得0分。学生可以多次操作,如果超过规定时间完成,得3分,多次操作取最高分为准。 | 5 | |
3 | 打开离子注入系统并调节合适的气压值 | 1分钟 | 选择注入元素的气瓶连接至注气系统,打开注气系统,调节针阀设置注气压力至额定值,成功注入原子,得5分。如果压力计未显示压力值,说明注气系统未能正常打开,或者针阀调节幅度过小,得0分。如果压力计显示远超过额定值,且离子源系统真空也高于额定值,则说明注气压力过大,得0分。学生可以多次操作,如果超过规定时间完成,得3分,多次操作取最高分为准。 | 5 | |
4 | 设置漂移管电压形成静电势囚禁离子 | 3分钟 | 合理设置漂移管电压形成静电势,成功囚禁离子,得10分。如果没有观测到离子,可能是由于漂移管1、2、3没有正确设置电压形成静电势,或者注气系统设置不正确,得0分。如果注气系统设置不正确,需要回到步骤3重新设置注气压。学生可以多次操作,如果超过规定时间完成,得6分,多次操作取最高分为准。 | 10 | |
5 | 设置脉冲电压将离子引出 | 2分钟 | 正确设置末端漂移管的脉冲电压与时序,引出离子,得5分。如果没有观测到离子引出,可能是由于没有正确设置漂移管的脉冲电压,得0分。学生可以多次操作,如果超过规定时间完成,得3分,多次操作取最高分为准。 | 5 | |
6 | 设置维恩速度分析仪的磁场与电场筛选出合适的离子团 | 2分钟 | 合理设置维恩速度分析仪的电场与磁场,实现离子电荷态筛选,得5分。如果离子团无法被调节,可能是由于维恩速度分析仪的电磁场没有正确设置,得0分。学生可以多次操作,如果超过规定时间完成,得3分。 | 5 | |
7 | 设置聚焦透镜电压对离子团进行聚焦 | 1分钟 | 合理设置聚焦透镜电压至额定参数,实现离子团聚焦,得5分。如果离子团形状发散未能聚焦,说明聚焦透镜电压没有正确设置,得0分、学生可以多次操作,如果超过规定时间完成,得3分,多次操作取最高分为准。 | 5 | |
8 | 在漂移管上设置脉冲电压对离子团进行减速 | 3分钟 | 正确设置漂移管脉冲电压与脉冲时序,将离子团减速,得5分。如果离子团未能实现减速,可能是由于脉冲电压设置不合理,或者脉冲时序未能合理匹配,得0分。学生可以多次操作,如果超过规定时间完成,得3分,多次操作取最高分为准。 | 5 | |
9 | 潘宁阱超导磁体励磁 | 3分钟 | 连接潘宁阱励磁电源,打开超导开关,设置潘宁阱主磁场至额定值,关闭超导开关,断开励磁电源,得5分。如果未能达到额定磁场值,说明没有正确操作超导开关完成闭环电流励磁,得0分。学生可以多次操作,如果超过规定时间完成,得3分,多次操作取最高分为准。 | 5 | |
10 | 设置控制电路与测量系统电路 | 3分钟 | 正确打开控制电路和连接测量电路,得5分。如果未能按照指示正确连接测量电路与控制电路,得0分。学生可以多次操作,如果超过规定时间完成,得3分,多次操作取最高分为准。 | 5 | |
11 | 在俘获电极中设置脉冲电压捕获离子 | 5分钟 | 正确设置捕获电极的脉冲电压与脉冲时序捕获离子,得10分。如果未能捕获离子,可能是由于脉冲电压设置错误,或者脉冲时序设置不匹配,得0分。学生可以多次操作,如果超过规定时间完成,得6分,多次操作取最高分为准。 | 10 | |
12 | 通过改变离子阱电压改变离子运动频率并检验稳定囚禁条件 | 5分钟 | 合理设置离子阱静电势稳定囚禁离子,得5分。如果离子未能稳定囚禁,可能由于没有正确设置静电势使得离子轴向逃逸,或者静电势约束强于磁约束势,导致离子径向逃逸,得0分,并需要返回第12步重新捕获离子。学生可以多次操作,如果超过规定时间完成,得5分,多次操作取最高分为准。 | 5 | |
13 | 设置镜像电荷探测系统测量离子轴向运动频率 | 5分钟 | 正确设置镜像电荷探测系统,使得LC电路谐振频率与离子频率共振,正确打开射频放大器,连接信号线网络。通过频谱分析仪观测到离子信号并测量离子轴向运动频率,得10分。如果信号线正确连接但未能观测到离子信号,可能由于LC谐振器频率与离子未能形成共振,得5分。未观测到离子信号,且信号线未能正确连接,LC探测电路未能正确设置,得0分。学生可以多次操作,如果超过规定时间完成,得6分,多次操作取最高分为准。 | 10 | |
14 | 设置电磁场激发调控离子运动的量子态并测量离子的径向运动频率信号 | 10分钟 | 合理设置电磁激发场将离子径向运动耦合至轴向,并根据步骤14设置测量离子信号,获得离子径向运动频率,得15分。仅测量到其中一个频率,得9分。未能正确设置电磁激发场,将离子径向运动耦合至轴向测量,得0分。学生可以多次操作,如果超过规定时间完成,得9分,多次操作取最高分为准。 | 15 | |
15 | 根据测量结果得到待测原子的质量 | 5分钟 | 根据测量的三个本征运动频率, 计算自由回旋运动频率,并计算出待测原子质量,得5分。如未能正确计算原子质量,得0分。学生可以多次操作,以最终提交结果为准,如果超过规定时间完成,得3分。 | 5 |
(2)交互性步骤详细说明
1. 加热电子束离子源的阴极灯丝:扭动灯丝电源电压旋钮,从0-3V设置灯丝加热的电压,再扭动灯丝电源电流旋钮,从0-1.2A设置灯丝加热的电流,观察仪器顶部的灯丝温度至1800°。
2. 设置引出电压引出电子束:点击阴极、阳极、收集极电源电压控制面板,根据实验需求设置阴极、阳极、收集极电压至额定值(建议值:阴极:-1000 V, 阳极:0 V, 收集极:-950 V),观察电子束束流大小。
3. 打开离子注入系统并调节合适的气压值:选择注入元素的气瓶连接至注气系统,打开注气阀门,旋转控制针阀调节注气压力,注意观察注气腔室的注气压,与离子阱阱区的气压值变化。
4. 设置漂移管电压形成静电势囚禁离子:点击漂移管1、2、3电压控制面板设置漂移管组的电压(建议值:X+150 V,X V, X + 100 V,其中X需要根据电离能表进行选择,电子束能量为漂移管电势与阴极电势差,其值至少要高于电离阈)形成囚禁离子的静电势,观察囚禁离子的数目和静电势阱的依赖关系。
5. 设置脉冲电压将离子引出:点击漂移管3电压控制面板设置脉冲电压值,点击时序控制面板,设置脉冲时序(建议值:10s施加一次低压脉冲),观察离子团引出情况为每一次脉冲引出一次离子。
6. 设置维恩速度分析仪的磁场与电场筛选出合适的离子团:点击维恩速度分析仪的电磁场控制面板,设置电场值和磁场值(参考值B约为100Gauss;其中Ud为漂移管2的电势,q为目标离子电荷态),观察不同电荷态离子通过维恩速度分析仪时的束流方向与电磁场设置的关系。
7. 设置聚焦透镜电压对离子团进行聚焦:点击聚焦透镜电压设置面板,设置电光学透镜1、2、3的电压值(建议值:U1=2000 V, U1=2500 V, U1=2000 V),观察聚焦透镜电压设置与束团形状的关系。
8. 在漂移管上设置脉冲电压对离子团进行减速:点击漂移管电压设置面板,设置漂移管脉冲电压与脉冲时序(建议值:脉冲电压 = 离子动能/e - 100V,脉冲时序需要根据离子速度与离子飞行时间计算得到),观察减速后离子动能和脉冲电压与脉冲时序设置的关系。
9. 潘宁阱超导磁体励磁:连接超导线圈励磁电流引线,打开励磁电源,打开超导开关,设置励磁电流与励磁速率(建议值:电流100A, 速率10A/s。注:此处为了缩短仿真实验时间推荐较快励磁速率,实际速率应根据设备参数标准设置)并开始励磁,等待励磁到位后观察磁场强度数值是否满足预期(参考值7T),关闭超导开关,设置电流值为0A,速率20A/s。(注:此处为了缩短仿真实验时间推荐较快励磁速率,实际速率应根据设备参数标准设置),开始降励磁电源的电流,待电流降低为0A是关闭电源。
10. 设置控制电路与测量系统电路:打开离子阱控制电路系统,使用同轴信号线降离子阱信号输出连接至信号放大器的输入端,再连接放大器输出端至频谱分析仪,点击电路控制面板打开放大器与频谱分析仪。
11. 在潘宁阱捕获电极上设置脉冲电压捕获离子:点击离子阱控制电路面板,设置捕获点击1、2、3脉冲电压与脉冲时序,脉冲电压应于步骤8离子减速后的能量匹配(建议值:捕获电极1低电势=0V,捕获电极1高电势=110 V,捕获电极2=100 V,捕获电极3=110V),同时脉冲时序应与离子飞行至离子阱中的实践匹配。观察离子捕获情况与脉冲电压与脉冲时序的设置关系。
12. 通过改变离子阱电压改变离子运动频率并检验稳定囚禁条件:点击离子阱控制电路面板,通过依次设置捕获电极2=0 V,传输电极=-10 V,捕获电极3=0V, 端盖电极1=-10V,传输电极=0 V, 修正电极1=-10 V,端盖电极=0 V,中心电极=-10 V,修正电极1 =0V 完成离子传输至中心潘宁阱中。设置中心电极的电压Ur,修正电极1、2的电压Uc=Ur*0.88,(提示:根据实验原理公式(4)和离子阱结构参数d设置中心电压Ur),观测中心电压变化如何影响离子运动轨迹并检验离子稳定囚禁条件。
13.设置镜像电荷探测系统测量离子轴向运动频率:点击离子阱控制电路面板,设置探测系统LC电路的电感和电容值,使得超导谐振电路与离子运动频率共振,观察离子信号与LC电路设置的关系,并记录离子轴向运动频率。
14.设置电磁场激发调控离子运动的量子态并测量离子的径向运动频率信号:点击离子阱控制电路面板,设置射频激发频率,观测离子径迹变化,观测离子信号,并记录下离子轴向运动频率劈裂值。
根据测量结果得到待测原子的质量:根据公式(4)计算自由回旋运动频率,再根据离子电荷态q和实验原理公式(1)计算原子质量。
1、 电子束离子源中离子产生包含实验步骤1-4,如果学生操作正确且合理,并最终成功产生离子得25分。如果学生按步骤操作后未能产生离子,可能原因存在于1)电子枪未能加热到额定温度(扣5分)。2)未能正确设置阴极、阳极、收集极电压,如阳极电压低于阴极电压,导致电子束未能发射或穿过中心区域与注入原子碰撞(扣5分)。 3)注气系统未能正确打开,或者注气压过小或者过大,导致原子未能成功注入(扣5分)3)未能正确设置静电势阱,如漂移管2电压高于漂移管1或3电压,导致不能正常约束离子(扣10分)。如未能完成这部分实验目标,需要学生重新操作直到产生离子才可以进行后续实验操作,如超过规定时间,纠正错误步骤并完成电子束离子源中离子产生,被扣分的步骤可以获得及格分。
2、 离子引出与电荷态筛选包含实验步骤5-8,如果学生操作正确且合理,并最终成功完成离子束聚焦且减速至100eV得20分。如果学生按步骤操作后未能使得离子束聚焦或减速至100eV,可能原因存在于1)未能正确设置漂移管3的低电压或脉冲时序,如低电压高于漂移管2电压、脉冲时序开关未打开灯,导致离子没有正确从离子源中引出(扣5分)。2)未能正确设置维恩速度分析仪的电场和磁场,如电场值过低或者过高,导致没能成功使目标离子通过速度分析仪而其他离子被偏转出去(扣5分)。3)未能正确设置聚焦电极1、2、3电压,如聚焦电极电压1与3不相等,导致离子束流发散(扣5分)。4)未能正确设置减速漂移管上的脉冲电压与时序控制,如高电压远小于离子团动能、脉冲时间与离子团飞行时间不一致,导致离子团未能有效减速至100eV(扣5分)。如未能完成这部分实验目标,需要学生重新操作直到产生离子团被有效聚焦且减速至100eV才可以进行后续实验操作,如超过规定时间,纠正错误步骤并完成电子束聚焦与减速,被扣分的步骤可以获得及格分。
3、 离子捕获包括实验步骤9-11,如果学生操作正确且合理,并最终成功在潘宁离子阱中捕获离子得20分。如果学生按步骤操作后未能捕获离子,可能原因存在于1)潘宁阱超导磁体未能成功励磁,如学生在励磁操作中,忘记打开或关闭超导开关(扣5分)。2)未能正确连接或打开离子阱的控制电路(扣5分)。3)未能正确设置捕获电极1、2、3的脉冲电压与时序控制,如捕获电极电压设置大于离子动能,脉冲时序设置与离子团飞行时间不一致,导致未能成功捕获离子(扣10分)。如未能完成这部分实验目标,需要学生重新操作直到产生离子被成功捕获才可以进行后续实验操作,如超过规定时间,纠正错误步骤并完成离子捕获,被扣分的步骤可以获得及格分。
4、 离子运动频率测量包括实验步骤12-14,如果学生操作正确且合理,并最终成功测到离子信号,获得离子本征运动频率,得30分。如果学生按步骤操作后未能测到离子信号,或未能得到离子本征运动频率,可能原因存在于1)离子传输过程中未能正确依次设置传输电压,导致离子在传输过程中丢失(扣5分),注:测试离子稳定条件为实验要求,测试过程中导致离子丢失不扣分。2)未能正确设置LC电路的电感和电容值或忘记打开信号放大器与频谱分析仪,导致没有观测到离子信号(扣10分)3)未能正确设置射频激发的频率,如计算错误导致频率失谐过大,导致离子径向运动未能耦合至轴向运动,未能从频谱分析仪上观测到轴向运动频率的劈裂(扣15分)。如未能完成这部分实验目标,需要学生重新操作直到测量离子本征运动频率才可以计算原子质量,如超过规定时间,纠正错误步骤并完成离子运动频率测量,被扣分的步骤可以获得及格分。

电邮:bingshengtu@fudan.edu.cn
地址:复旦大学现代物理研究所3-204